学校主页
搜索
首页
学院概况
学院概况
专业介绍
教师风采
数字媒体技术
动画
网络与新媒体
学工办
教务
广软-网易游戏产业学院
学院资讯
最新资讯
学生工作
学生工作办公室简介
榜样引领
奖助贷工作
自强社
心灵驿站
职站
党团建设
党建工作
团学工作
学术动态
竞赛通知
比赛作品
毕业作品
通知公告
通知公告
资料下载
规章制度
招生就业
就业信息
招生信息
通知公告
通知公告
资料下载
规章制度
通知公告
当前您的位置:
首页
>
通知公告
>
通知公告
>
正文
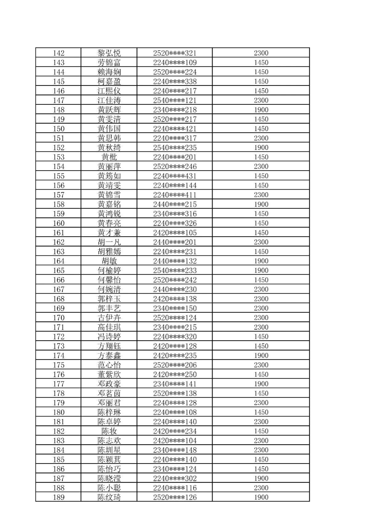
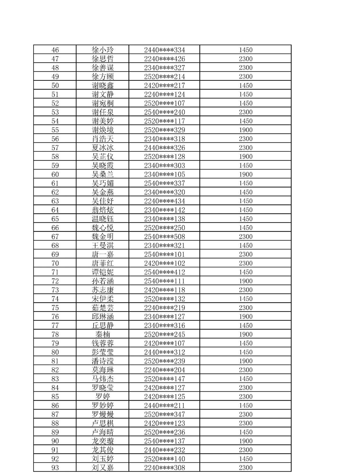
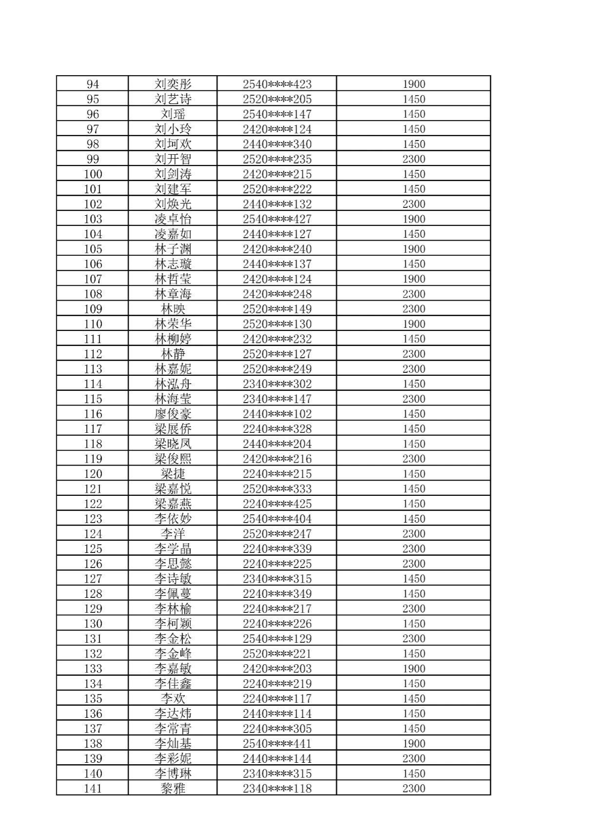
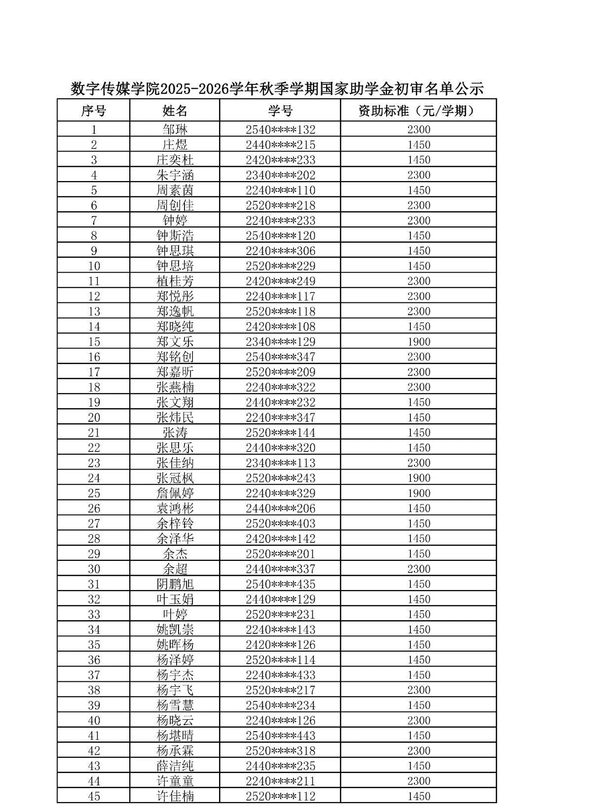
关于数字传媒学院2025-2026学年秋季学期国家助学金初审名单的公示
发布日期:2025-11-24
点击量:
上一篇:
关于2025年度共青团广州软件学院数字传媒学院委员会团员教育评议等级为“优秀”的团员公示
下一篇:
数字传媒学院学生党支部入党申请人名单公示